Kapitel 4 Integraler
| Genomgångar | Formelsamling Integraler | Diagnos kap 2/3 Der. & int. |
F.o.m. detta kapitel finns kursens övningar inte på webben (pga tidsbrist). Därför: Läs igenom genomgångarna här, men använd för
övningarna boken (Matematik 5000). Leta i bokens innehållsförteckning och register efter resp. kapitlets/avsnittets övningar.
Tyvärr överensstämmer sidouppgifterna här inte med boken.
4.1 Primitiva funktioner \( \qquad\qquad\qquad\;\; \) Övningar: Boken, sid 175
Hittills: En funktion var given. Vi sökte funktionens derivata. Nu vänder vi på steken:
Det omvända problemet:
OBS! Annan problemställning och annan beteckning:
\( \; f\,(x) \, \) är inte längre en given funktion som vi ska derivera.
\( \; f\,(x) \, \) är en given derivata av en okänd funktion \( \, \color{red} {F\,(x)} \, \) som vi söker, dvs \( \, \color{red} {F\,'(x)} = f\,(x) \, \).
Exempel 1:
Givet: \( \quad\;\; f\,(x) \, = \, 2\,x \, = \, \) Derivatan av någon funktion
Sökt: \( \quad\;\;\, F(x) \quad \) så att \( \quad F\,'(x) = 2\,x \)
Lösning: \( \;\; F(x) = \boxed{\textstyle x\,^2 \, + C\,} \, , \;\; C={\rm const.} \)
Kontroll: \( \;\; F\,'(x) = 2\,x + 0 \, = \, 2\,x \, = \, f\,(x) \)
Att hitta en primitiv funktion kallas för integration och \( \, C \, \) för integrationskonstanten.
Exempel 2: Givet: \( \quad\;\; f\,(x) \, = \, x\,^3 + 5 \, = \, \) Derivatan av någon funktion Sökt: \( \quad\;\;\, F(x) \quad \) så att \( \quad F\,'(x) = x\,^3 + 5 \) Lösning: \( \;\; F(x) = \boxed{\textstyle \frac{1}{4} x\,^4 + 5 \, x + C\,} \, , \;\; C={\rm const.} \) Kontroll: \( \;\; F\,'(x) = \frac{4}{4} x\,^3 + 5 + 0 \, = \, x\,^3 + 5 \, = \, f\,(x) \) |
\( \quad \) | Allmän definition: Givet: \( \quad f\,(x) \) Sökt: \( \quad \) En funktion \( \;\; F\,(x) \;\; \) så att: \( \qquad\qquad\quad\; \boxed{F\,'\,(x) = f\,(x)} \) Funktionen \( \, F\,(x) \, \) kallas för primitiv funktion. |
- Integration är deriveringens inversa (omvända) operation. Därför:
- Integrationsregler för olika funktionstyper följer genom att vända om deriveringsreglerna. T.ex.:
Integrationsregeln för en potens:Om \( f(x) = x\,^n \qquad {\rm där} \qquad\, n = {\rm const.} \neq -1\) då \(\; F(x) = \boxed{\frac{x\,^{n+1}}{n+1} \, + \, C\;} \;, C = \) integrationskonstanten |
\( \quad \) |
Exempel: För \( \, f(x) \, = \, x^4 \; \) blir den primitiva funktionen:
|
- Bevis: \( \, F\,'(x) = \displaystyle \frac{(n+1) \, x\,^{n+1-1}}{n+1} \, + \, 0 \, = \, \frac{(n+1) \, x\,^{n}}{n+1} = x\,^n = f\,(x) \qquad \) Exempel: \( \;\; F\,'(x) \, = \, \displaystyle \frac{5}{5} \, x\,^4 \, + \, 0 \, = \, x\,^4 \, = \, f\,(x) \qquad \)
- Regeln ovan gäller inte bara för positiva \( \, n \, \) utan även för negativa (undantaget \( -1 \)) och rationella exponenter.
- Ytterligare regler om primitiva funktioner (för exponentialfunktioner) anges senare.
Fysikalisk tolkning:
| \( \quad \) | ![]() |
\( \quad \) Hastighetsmätaren deriverar. \( \;\; \)
|
\( \quad \) ![]() |
Integration är den inversa operationen till derivering. \( \quad \) Primitiv funktion = "Anti"derivata
Derivata Integral Fysikalisk tolkning: Hastighet Sträcka Geometrisk tolkning: Kurvans lutning Area under kurvan Matematisk tolkning: Limes av differenskvot Limes av oändlig summa
Integrationskonstanten \( \, C \, \):
Om en given funktion har en primitiva funktion så har den pga \( \, C={\rm const.} \, \) oändligt
många primitiva funktioner.
För att få endast en primitiv funktion \( \, F(x) \, \) ställs vissa villkor på \( \, F(x) \, \). I fysiken kallas
de för begynnelsevillkor. Villkoren används för att bestämma integrationskonstanten \( \, C \, \). \( \; {\bf {\color{Red} {\downarrow}}} \)
4.2 Primitiva funktioner med villkor \( \qquad\qquad\qquad\;\; \) Övningar: Boken, sid 177
I fysikaliska tillämpningar är den typiska formen av villkor begynnelsevillkor. Frågan är:
Vad gällde i början, dvs vilket vägmärke passerades vid \( \, t = 0 \, \). Eller: Vad visade trippmätaren vid \( \, t = 0 \, \)?
Problemet ovan kallas även för en differentialekvation med begynnelsevillkor som kommer att behandlas i Matte 4 och 5.
Geometriskt exempel på primitiv funktion med en annan typ av villkor:
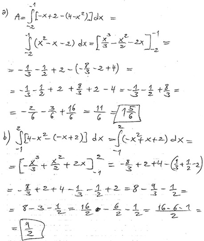
4.3 Integral som area under kurvan \( \qquad\qquad\qquad\;\; \) Övningar: Boken, sid 180
I början av Analysen \(-\) den gren av matematiken som handlar om derivator och integraler och som på 1700-talet utvecklades av Newton och Leibniz \(-\) stod bl.a. följande frågeställning (se även Derivatans definition):
\( \displaystyle \, \int\limits_a^b f(x) \, dx \) läses "Integralen över \( f(x) \; dx \, \) från \( \, a \, \) till \( \, b \, \)". \( \, f(x) \, \) kallas för integranden.
\( \, a \, \) och \( \, b \, \) kallas för integrationsgränser och ersätter integrationskonstanten \( \, C \, \).
\( \displaystyle \, \int\limits_a^b f(x) \, dx \) kallas för bestämd integral. Dess resultat är ett tal.
\( \displaystyle \, \int\limits f(x) \, dx \) kallas för obestämd integral vars resultat är en primitiv funktion med en integrationskonstant \( \, C \, \).
För att bestämma integrationskonstanten måste ett villkor (begynnelsevillkor) vara givet.
Fysikaliskt exempel: \( \quad \) Likformig rörelse med konstant hastighet 60 km/h
\( \qquad\; v\,\text{-}\,t\) diagrammet (till vänster): Kör man med med \( \, 60 \, \) km/h i \( \, 4 \, \) timmar har man kört en sträcka på \( \, 60 \cdot 4 = 240 \, \) km.
\( \qquad\; \text{Sträckan} \, 240 \, = \, \text{Arean under hastighetskurvan} \, = \, \text{Integralen} \, \displaystyle \int\limits_0^4 \color{Red}{60} \, dt \, = \, \left[ \, \color{Red}{60\,t} \, \right]_0^4 \, = \, 60\cdot4 \, - \, 60\cdot0 \, = \, 240 \)
\( \qquad\; \)Generellt:
Integralen över hastigheten = Arean under hastighetskurvan = Sträckan.
Rörelse med variabel hastighet (konstant acceleration):
3.2 Integralberäkningar
I övningarna finns även exponentialfunktioner vars primitiva funktioner sökes. Reglerna för dem skiljer sig från integrationsregeln för en potens:
Integrationsregler för exponentialfunktioner:Om \( \; f(x) \, = \; e\,^{k\,x} \qquad {\rm där} \qquad\, k = {\rm const.} \) då är den primitiva funktionen \( \displaystyle \;\; F(x) \, = \, \boxed{\frac{e\,^{k\,x}}{k} \, + \, C\;} \; \) Om \( \; f(x) \, = \; a\,^{k\,x} \qquad {\rm där} \qquad\, a, k = {\rm const.} \) då är den primitiva funktionen \( \displaystyle \;\; F(x) \, = \, \boxed{\frac{a\,^{k\,x}}{k\,\ln a} \, + \, C\;} \; \) |
\( \quad \) |
Exempel: Om \( \, f(x) \, = \, e\,^{4x} \; \) då är den primitiva funktionen:
Om \( \, f(x) \, = \, 2\,^{3x} \; \) då är den primitiva funktionen:
|
Beakta skillnaden mellan potensfunktioner (\( x \) i basen) och exponentialfunktioner (\( x \) i exponenten). Därav olika integrationsregler.
Övningar till 3.2 Integralberäkningar: Matte 4-boken, sid 156-158
| Diagnos kap 2/3 Der. & int. |
3.5 Tillämpning av integraler
Ett fysikaliskt exempel
Fallskärmshopp
En fallskärmshoppare faller fritt utan att öppna fallskärmen med hastigheten:
\( \qquad\qquad\qquad\qquad v(t) = 80\,(1 - 0,88\,^t) \)
där \( \, t = \, \) tiden i sek och \( \, v \, \) hastigheten i meter/sek.
a) Bestäm hopparens maximala hastighet genom att:
rita grafen \( \, v = v(t) \, \) och tolka rörelsen fysikaliskt.
b) Formulera och lös problemet matematiskt och besvara frågan:
Hur långt har hopparen fallit när \( \, v = 40 \, \) m/s ?
Fysikalisk tolkning
Enligt Newtons fösta lag: "Ett föremål är i vila eller rör sig med konstant hastighet, om och endast om
- summan av alla krafter \( = 0 \)."
Matematisk formulering
b) Givet: Hastigheten \( \; s'(t) \, = \, v(t) \, = \, 80\,(1 - 0,88\,^t) \)
\( \qquad\qquad \) Begynnelsevillkor: \( \, s(0) \, = \, 0 \)
Sökt: 1. Funktionen \( \displaystyle \quad\; s(t) \, = \, \int_0^t 80\,(1 - 0,88\,^t) \; dt \)
2. Sträckan \( \quad\;\;\;\, s(t_1) \, \), där \( \; v(t_1) \, = \, 40 \, \) m/s
Matematisk lösning
Ett samhällsvetenskapligt exempel
Röster i melodifestivalen
Antalet inkommande röster per minut i melodifestivalen beskrivs av funktionen:
\( \qquad\qquad\qquad\qquad r(x)\, = \, 14\,500\,x \, - \, 150\,x^2 \)
där \( \,\, r \,\, \) är antalet inkommande röster per minut
och \( \, x \, \) tiden i minuter efter röstningens start.
Totalt kom in \( \, 14,5 \, \) miljoner röster under röstningsperioden.
Beräkna hur länge röstningen pågick.
Kontrollera ditt resultat med grafräknarens verktyg för numerisk integration.
Lösning
\( r(x) \, = \, \) antalet inkommande röster per minut.
Vi inför \( \, R(x) \, = \, \) antalet (summan) röster som kommit in vid tidpunkten \( \, x \, \).
Då blir \( \, r(x) \, \) rösternas tillväxthastighet (antal per min) dvs derivatan av \( \, R(x) \, \):
- \[ \qquad\qquad R\,'(x) \, = \, r(x) \]
vilket betyder att \( \, R(x) \, \) är den primitiva funktionen till \( \, r(x) \, \):
\( \qquad R\,'(x) \, = \, r(x) \, = \, 14\,500\,x \, - \, 150\,x^2 \)
Vi integrerar ekvationen ovan och sätter den till \( \, 14,5 \, \) miljoner inkommande röster :
\( \qquad \displaystyle R(t) \, = \, \int_0^t (14\,500\,x - 150\,x^2) \; dx \, = \, 14\,500\,000 \)
\( \qquad\qquad\qquad\; \displaystyle \left[ \, \frac{14\,500\,x^2}{2} - \frac{150\,x^3}{3} \, \right]_0^t \, = \, 14\,500\,000 \)
\( \qquad \left[ \, 7\,250\,x^2 - 50\,x^3 \, \right]_0^t \, = \, 7\,250\,t^2 - 50\,t^3 \, = \, 14\,500\,000 \)
\( \qquad 7\,250\,t^2 - 50\,t^3 - 14\,500\,000 \, = \, 0 \)
\( \qquad 50\,t^3 - 7\,250\,t^2 + 14\,500\,000 \, = \, 0 \)
Grafräknarens ekvationslösare ger: \( \qquad t \, \approx \, 57,6041146 \)
\( 0,6041146 \, \) minuter är \( \, 0,6041146 \cdot 60 \, \approx \ 36,25 \, \) sekunder.
Röstningen pågick i \( \, \underline{57\,\,{\rm minuter\;och\;} 36\,\,{\rm sekunder.}} \)
Kontroll
Vi beräknar med grafräknaren \( \, \displaystyle \int_0^{57,6041146} (14\,500\,x - 150\,x^2) \; dx \, \) och kontrollerar om det blir \( \, 14\,500\,000 \, \).
Beskrivningen bygger på grafräknaren TI-82 STATS, men kan med lite modifikation tillämpas på alla grafräknare.
Numerisk integration med miniräknare
Tryck i miniräknaren på knappen MATH.
Gå med piltangenten till fnInt( som står för numerical Integration.
Tryck på ENTER.
Mata in så att det efteråt står följande i displayen:
- fnInt ( 14500X-150X^2, X, 0, 57.6041146 )
Tryck på ENTER. I displayen visas \( \underline{14\,500\,000} \), vilket betyder:
\( \qquad \displaystyle \int_0^{57,6041146} (14\,500\,x - 150\,x^2) \; dx \, = \, 14\,500\,000 \)
Räknarens funktion fnInt( ) tar fyra argument separerade med komma:
1) Integrandens funktionsuttryck \( \, f(x) \, \), i exemplet ovan \( r(x) \).
2) Variabeln med avseende på vilken \( f(x) \) ska integreras.
3) Den undre integrationsgränsen.
4) Den övre integrationsgränsen.
Ett ekonomiskt exempel
Marginalkostnad
som derivatan av kostnaden (jfr. med marginalskatt)
Kostnaden K som en funktion av mängden x (antalet broschyrer)
Övningar till 3.5 Tillämpning av integraler: Matte 4-boken, sid 169-172
| Diagnos kap 2/3 Der. & int. |
Copyright © 2011-2025 Lieta AB. All Rights Reserved.











